Свойства логарифмов Про
Описание Свойства логарифмов Про
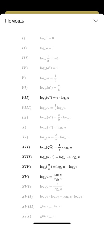
Во многих случаях вы можете вычислить логарифм, преобразовав его и изменив форму. Это приложение ориентировано на основные операции: сложение, вычитание, умножение, деление и изменение основания логарифма. Вам нужно ввести все значения, и приложение шаг за шагом покажет использование определенных правил вычисления логарифма. Там вы видите, как преобразование логарифма может привести к более простому способу вычисления, но с теми же результатами. Инфографика содержит все правила расчета логарифма.
Поддерживаются десятичные дроби, дроби и отрицательные значения. Решение показано пошагово. Все расчеты сохраняются в истории. Окончательное решение можно разделить.
[ Содержание ]
— режимы логарифмирования (сложение, вычитание, умножение, деление, изменение основания)
— необходимо ввести все значения логарифмов
— результаты рассчитываются и показываются в деталях
— применение преобразований логарифма
— полный список правил логарифмирования
— функция истории для сохранения ввода
— подробное решение
— поддерживаются отрицательные значения, десятичные числа и дроби
— без рекламы!
[ Применение ]
— есть поля для ввода значений с помощью специальной клавиатуры
— нажмите кнопку с галочкой внизу справа, чтобы начать расчет
— если значения отсутствуют, соответствующее поле выделяется желтым цветом
— если значения неверны, затронутое поле будет выделено красным
— записи в истории можно удалять или сортировать
— если выбрать запись в истории, она будет автоматически загружена для расчета
— вся история может быть удалена нажатием кнопки
— решения могут быть разделены
— касание кнопки со знаком вопроса отображает информацию о теме
Скачайте приложение Свойства логарифмов Про для iOS - последняя версия (2.1.7) уже доступна для установки на ваш iPhone или iPad.
Информация о Свойства логарифмов Про
- Лицензия Платно
- Версия 2.1.7
- Обновлено 29 марта 2026 г.
- Требуемая ОС iOS 15.0 и выше
- Категория Образование
- Разработчик Glindemann, Sennoun, Langer GbR
- Возраст 4+































