Синус Косинус Тангенс
Описание Синус Косинус Тангенс
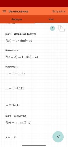
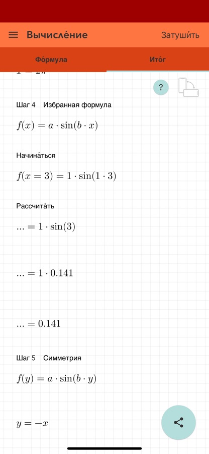
Здесь объясняется поведение основных функций синуса, косинуса и тангенса. Вы можете изменять амплитуду и частоту функции. Кроме того, вы можете ввести значение x или периодический шаг для нужного вам решения. Приложение показывает все важные вычисления, предоставляет информационное изображение и отображает график.
Поддерживаются десятичные и дробные числа, отрицательные значения и π. Решение показывается шаг за шагом. Все вычисления сохраняются в истории. Окончательным решением можно поделиться.
[ Содержание ]
— все важные величины для синуса, косинуса и тангенса
— область определения, область значений, длина периода, максимум, минимум, нули и полюса функций
— доказательство симметрии и периодического поведения функций
— результаты также вычисляются как π-значение
— графики для синуса, косинуса и тангенса
— функция истории для сохранения вводимых данных
— подробное решение
— поддерживаются отрицательные значения, десятичные числа, дроби и π
— возможность удаления рекламы
[ Использование ]
— имеются поля для ввода значений с помощью специальной клавиатуры
— нажмите кнопку с галочкой в правом нижнем углу, чтобы начать вычисления
— если значения отсутствуют, приложение будет использовать значения по умолчанию
— если значения неверны, соответствующее поле будет выделено красным цветом
— записи в истории можно удалять или сортировать
— если выбрать запись в истории, она будет автоматически загружена для расчета
— вся история может быть удалена нажатием одной кнопки
— решениями можно обмениваться
Скачайте приложение Синус Косинус Тангенс для iOS бесплатно - последняя версия (3.0.0) уже доступна для установки на ваш iPhone или iPad.
Информация о Синус Косинус Тангенс
- Лицензия Бесплатно
- Версия 3.0.0
- Обновлено 12 марта 2026 г.
- Требуемая ОС iOS 15.0 и выше
- Категория Образование
- Разработчик Glindemann, Sennoun, Langer GbR
- Возраст 4+






























