Усеченный конус
Описание Усеченный конус
Лучшее приложение для расчета всех величин усеченного конуса. Вы должны ввести некоторые величины, такие как радиус и высота. Алгоритм ищет формулы недостающих величин, показывает их и вычисляет результаты.
Длину десятичного знака можно изменить. Алгоритм показывает, когда округление или неправильные значения приводят к оппозиции.
Поддерживаются десятичные дроби и дроби. Решение показано поэтапно. Все расчеты сохраняются в истории. Окончательным решением можно поделиться.
[ Содержание ]
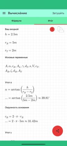
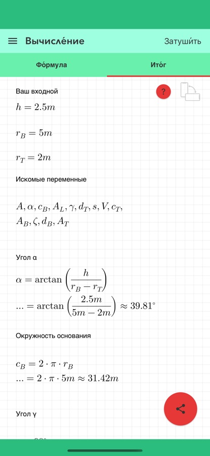
— все важные величины для усеченного конуса
— формулы для всех важных величин усеченного конуса
— инфографика, иллюстрирующая тему
— панель поиска, чтобы найти нужное количество
— функция истории для сохранения ввода
— подробное решение
— поддерживаются положительные числа, десятичные дроби и дроби
— возможность удалить рекламу
[ Использование ]
— есть поля для ввода значений с помощью специальной клавиатуры
— нажмите кнопку с галочкой справа внизу, чтобы начать расчет
— если значения отсутствуют, все поля будут отмечены оранжевым цветом
— если значения неверны (например, отрицательная длина), затронутое поле будет выделено красным.
— если значение не является числом, оно выделяется красным цветом
— записи в истории можно удалять или сортировать
— если вы выберете запись в истории, она будет автоматически загружена для расчета
— всю историю можно удалить нажатием кнопки
-решениями можно поделиться
[Математические условия]
— каждое значение должно быть больше нуля
— угол α, γ должен быть меньше 90°.
— угол ζ должен быть больше 90° и меньше 180°.
Скачайте приложение Усеченный конус для iOS бесплатно - последняя версия (3.0.0) уже доступна для установки на ваш iPhone или iPad.
Информация о Усеченный конус
- Лицензия Бесплатно
- Версия 3.0.0
- Обновлено 20 февраля 2026 г.
- Требуемая ОС iOS 15.0 и выше
- Категория Образование
- Разработчик Glindemann, Sennoun, Langer GbR
- Возраст 4+





























