Spreadthesign
2.2.5
Europeiskt Teckenspråkcenter
Описание Spreadthesign
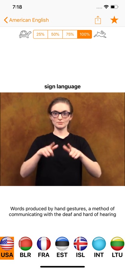
Крупнейшая в мире знак словарь языка с более чем 300 000 знаков! Новые страны, слова и знаки приходят каждый год.
Скачайте приложение Spreadthesign для iOS бесплатно - последняя версия (2.2.5) уже доступна для установки на ваш iPhone или iPad.
Информация о Spreadthesign
- Лицензия Бесплатно
- Версия 2.2.5
- Обновлено 25 июля 2025 г.
- Требуемая ОС iOS 9.1 и выше
- Категория Книги и справочники
- Разработчик Europeiskt Teckenspråkcenter
- Возраст 9+































