Показательные уравнения
Описание Показательные уравнения
Приложение для практики экспоненциальные уравнения.
App предлагает экспоненциальные уравнения, которые постоянно меняется и
обеспечивает полное решение!!!
Идеальный инструмент для изучения математики в средних и технических школ.
Подходит также для преподавателей, которые нужно создать экспоненциальные уравнения как задание для студентов.
Доступны пять уровней сложности:
1) basic (бесплатно)
2) легко (бесплатно)
3) средний (бесплатно)
4) трудно (покупке в App)
5) эксперт (покупке в App)
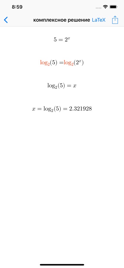
• В «Основные» уровне являются предложенные уравнения где вы просто применить определение логарифма.
• В «Easy» уровне являются предложенные уравнения, которые могут быть решены в несколько шагов.
• В «Среднем» уровне являются предложенные уравнения, где количество шагов, чтобы получить к решению немного выше.
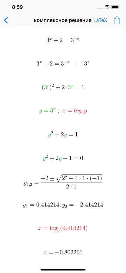
• В «Трудные» уровне являются предложенные уравнения, которые приводит к квадратного уравнения (через переменные замены).
• В «Эксперт» уровня уравнений предлагается требует очень хорошего знания необходимо решить.
Скачайте приложение Показательные уравнения для iOS бесплатно - последняя версия (2.0) уже доступна для установки на ваш iPhone или iPad.
Информация о Показательные уравнения
- Лицензия Бесплатно
- Версия 2.0
- Обновлено 12 июля 2025 г.
- Требуемая ОС iOS 12.0 и выше
- Категория Образование
- Разработчик Francesco Grassi
- Возраст 4+































